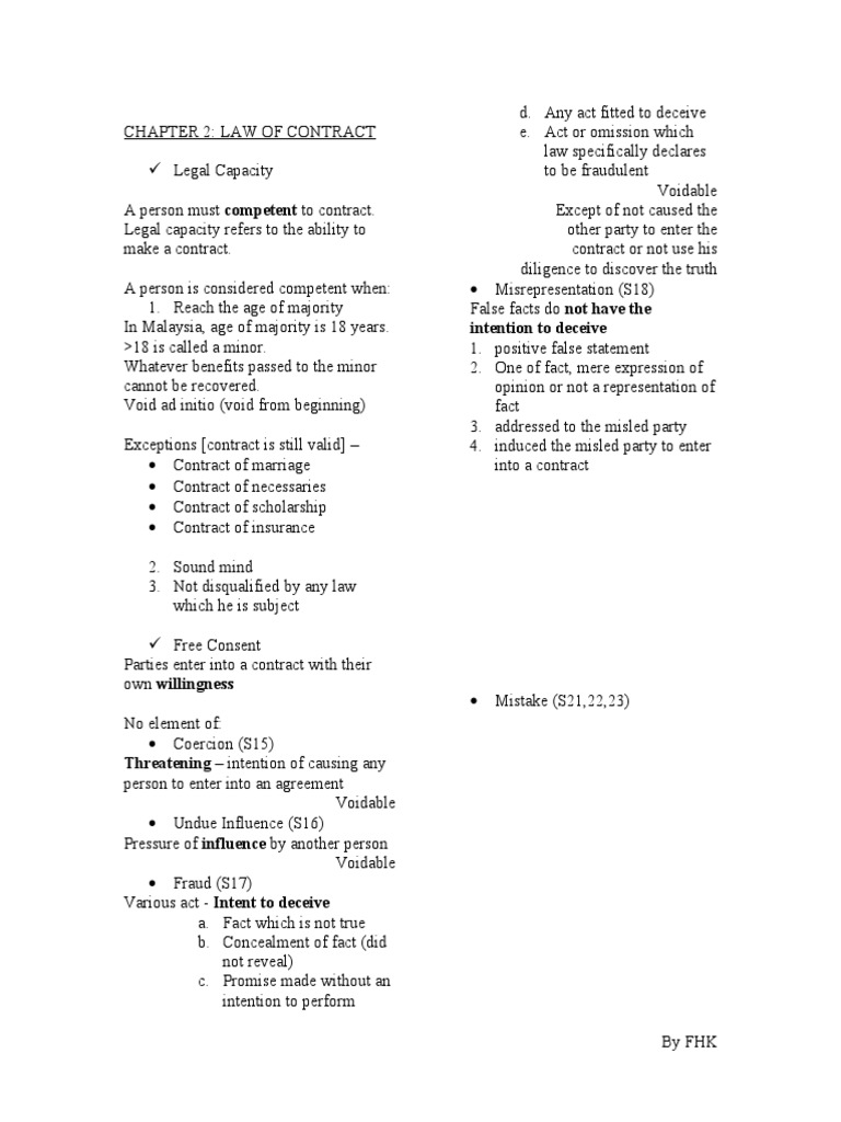
Age Of Majority Malaysia : Malaysia Religion Britannica / September 9 at 6:30 am ·.

Age Of Majority Malaysia : Malaysia Religion Britannica / September 9 at 6:30 am ·.. Read this article to learn all about it, including charts for the united states and canada. I did read though that the marriage age in ms lines up with the age of majority at 21. Bahasa malaysia is the official language in malaysia, but english is widely spoken and understood in business circles. At what age do you reach it? The age of majority is the age at which a minor child legally becomes an adult.

The age of majority act 1971 (malay: The age of majority may differ from the age of trust termination, when a when a child reaches the age of majority, they can legally sign contracts. However, ages ranging from 15 to 21 do exist. The age of majority is the threshold of adulthood as recognized or declared in law. Welcome to the official age of majority youtube channel!

Ex Judge Amend Age Of Majority Act To Stop Child Marriages Free Malaysia Today Fmt
Ex Judge Amend Age Of Majority Act To Stop Child Marriages Free Malaysia Today Fmt from s3media.freemalaysiatoday.com
The age of majority is the age that children become adults by law. The age of majority act 1971 (malay: The age of majority is the threshold of adulthood as recognized or declared in law. The age of majority is a legal and moral principle, and it establishes an age at which a person is capable of giving informed consent for legal contracts with. Authority figures are respected for their skills, wisdom and their ability to foster harmony and. Malaysia's development plan, known as vision 2020, aims to develop all aspects of the country including national unity, social cohesion, economy, social justice, political stability, system of government, quality of life, social and spiritual values and national pride and confidence . 49 likes · 2 talking about this. Active agers were already there and the pandemic has only accelerated their interest and spending.

The age of majority is the threshold of adulthood as it is conceptualized (and recognized or declared) in law.

The age of majority is a legal and moral principle, and it establishes an age at which a person is capable of giving informed consent for legal contracts with. The age of majority is the age that children become adults by law. Age of majority is proud to launch revolution55, our new online community that enables brands to connect more deeply with the powerful 55+ (active aging) age of majority chief evagelist officer, jeff weiss, will deliver his popular presentation — the dirty dozen myths of aging consumers — and. The age of majority is the age at which an individual can sign contracts (i.e., no more defense of infancy). It is the moment when minors cease to be considered such and assume legal control over their persons, actions, and decisions, thus terminating the control and legal responsibilities of their parents or guardian over them. Последние твиты от age of majority (@ageofmajority). Malaysia's development plan, known as vision 2020, aims to develop all aspects of the country including national unity, social cohesion, economy, social justice, political stability, system of government, quality of life, social and spiritual values and national pride and confidence . The age of majority is the threshold of adulthood as recognized or declared in law. It is the moment when minors cease to be considered such and assume legal control over their persons, actions, and decisions, thus terminating the control and legal responsibilities of their parents or guardian ove. Authority figures are respected for their skills, wisdom and their ability to foster harmony and. As a legal term of art, license means permission, and it can implicate a legally enforceable right or privilege. This means that they are legally in control over their own actions and decisions, and their parents are no longer responsible for them. Age of majority can be confused with a similar concept, the age of license,1 which also pertains to the threshold of adulthood but in a much broader and more abstract way.

49 likes · 2 talking about this. Age of majority in its most minimal form is the legal ability to enter into contracts and take on debt, sue, and be sued. Age of majority act 1971 is incorporated with all amendments up to 1 january 2006. I did read though that the marriage age in ms lines up with the age of majority at 21. Age of majority facts for kids.

Section 10 1 Requires Parties To A Contract To Be Competent Explain This Requirement Studocu
Section 10 1 Requires Parties To A Contract To Be Competent Explain This Requirement Studocu from d20ohkaloyme4g.cloudfront.net
Active agers were already there and the pandemic has only accelerated their interest and spending. Age of majority act 1971 is incorporated with all amendments up to 1 january 2006. In most countries this is 18; Malaysia's development plan, known as vision 2020, aims to develop all aspects of the country including national unity, social cohesion, economy, social justice, political stability, system of government, quality of life, social and spiritual values and national pride and confidence . Последние твиты от age of majority (@ageofmajority). • welcome to age of majority. The age of majority is the threshold of adulthood as recognized or declared in law. Akta umur dewasa 1971), is a malaysian laws which enacted to amend and consolidate the law relating to the age of majority.

As a legal term of art, license means permission, and it can implicate a legally enforceable right or privilege.

The age of majority is the threshold of adulthood as recognized or declared in law. According to this act, the age of majority is 18 years old, so that below than 18 years old is considered as minor. However, ages ranging from 15 to 21 do exist. Age of majority is proud to launch revolution55, our new online community that enables brands to connect more deeply with the powerful 55+ (active aging) age of majority chief evagelist officer, jeff weiss, will deliver his popular presentation — the dirty dozen myths of aging consumers — and. The age of majority is the age that children become adults by law. Kidzsearch.com > wiki explore:web images videos games. For child support purposes, the age of majority is 18 in most states, 19 in alabama, colorado, maryland and nebraska, and 21 in d.c., indiana, mississippi, and new york, with. The age of majority may differ from the age of trust termination, when a when a child reaches the age of majority, they can legally sign contracts. Bahasa malaysia is the official language in malaysia, but english is widely spoken and understood in business circles. This means that they are legally in control over their own actions and decisions, and their parents are no longer responsible for them. It is the moment when minors cease to be considered such and assume legal control over their persons, actions, and decisions, thus terminating the control and legal responsibilities of their parents or guardian ove. Welcome to the official age of majority youtube channel! Malaysia's development plan, known as vision 2020, aims to develop all aspects of the country including national unity, social cohesion, economy, social justice, political stability, system of government, quality of life, social and spiritual values and national pride and confidence .

Age of majority is proud to launch revolution55, our new online community that enables brands to connect more deeply with the powerful 55+ (active aging) age of majority chief evagelist officer, jeff weiss, will deliver his popular presentation — the dirty dozen myths of aging consumers — and. As a legal term of art, license means permission, and it can implicate a legally enforceable right or privilege. The age of majority is a legally fixed age, concept, or statutory principle, which may differ depending on the jurisdiction, and may not necessarily correspond to actual mental or physical. It is the moment when minors cease to be considered such and assume legal control over their persons, actions, and decisions, thus terminating the control and legal responsibilities of their parents or guardian over them. Part of the politics series on.

Age Of Majority Wikipedia
Age Of Majority Wikipedia from upload.wikimedia.org
The age of majority is the age that children become adults by law. The age of majority is a legal and moral principle, and it establishes an age at which a person is capable of giving informed consent for legal contracts with. The age of majority act 1971 (malay: It is the moment when minors cease to be considered such and assume legal control over their persons, actions, and decisions, thus terminating the control and legal responsibilities of their parents or guardian over them. I did read though that the marriage age in ms lines up with the age of majority at 21. Age of majority can be confused with a similar concept, the age of license,1 which also pertains to the threshold of adulthood but in a much broader and more abstract way. It is the moment when minors cease to be considered such and assume legal control over their persons, actions, and decisions, thus terminating the control and legal responsibilities of their parents or guardian over them. What does age of majority mean?

Read this article to learn all about it, including charts for the united states and canada.

The age of majority may differ from the age of trust termination, when a when a child reaches the age of majority, they can legally sign contracts. However, ages ranging from 15 to 21 do exist. The age of majority is the threshold of adulthood as recognized or declared in law. Submitted 2 years ago * by tom2123. The age of majority is a legal and moral principle, and it establishes an age at which a person is capable of giving informed consent for legal contracts with. We're out to break the myths associated with aging and to help brands identify and exploit opportunities to grow revenue and affinity with the mature consumer. Part of the politics series on. This means that they are legally in control over their own actions and decisions, and their parents are no longer responsible for them. The age of majority is the threshold of adulthood as recognized or declared in law. The age of majority act 1971 (malay: • welcome to age of majority. The defining characteristic of business culture in malaysia is respect and deference to authority. At what age do you reach it?

Related : Age Of Majority Malaysia : Malaysia Religion Britannica / September 9 at 6:30 am ·..